特载
湖湘数典
一、综合
二、国民经济核算
三、人口
四、就业人员和工资
五、固定资产投资
六、对外经济、旅游和开发区
七、能源
八、财政、金融和保险
九、城市建设和环境保护
十、农业
十一、工业
十二、建筑业
十三、交通运输和邮电业
十四、批发和零售业、住宿和餐饮业
十五、教育和科技
十六、文化、体育和卫生
十七、党群、政法和社会服务
十八、区域经济
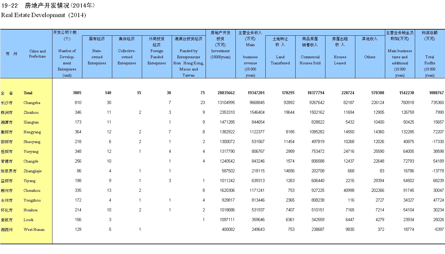
十九、各市、州主要经济和社会统计指标
二十、各县(市、区)主要经济和社会统计指标
二十一、各省(市、自治区)主要经济和社会统计指标